Wednesday, 29 April 2026

Two-thirds of aged care residents with BPSD symptoms living with physical pain

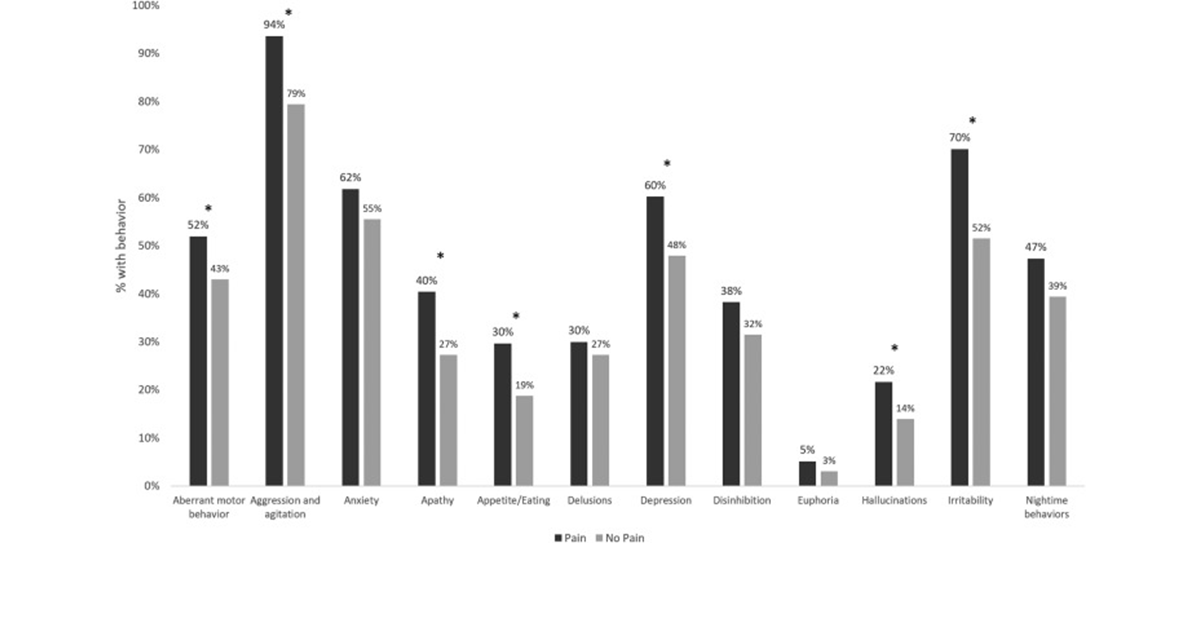
New research by HammondCare has shown around 50% of aged care residents with behaviours and psychological symptoms of dementia (BPSD) live with moderate to severe pain – a finding with important implications for providers. The research used...

The Weekly Source   profile image
by The Weekly Source
Two-thirds of aged care residents with BPSD symptoms living with physical pain

New research by HammondCare has shown around 50% of aged care residents with behaviours and psychological symptoms of dementia (BPSD) live with moderate to severe pain – a finding with important implications for providers. The research used a sample of nearly 500 residents from 370 aged care homes across Australia who were referred to Dementia Support Australia (DSA) which HammondCare is funded to run by the Federal Government. PainChek, a dementia-specific pain assessment device, was used to assess residents’ pain and discovered those living with pain were almost four times more likely to suffer from agitated or aggressive behaviour.

“If pain is not managed appropriately, it can trigger a cascade of adverse events affecting not only the person with dementia, but also the people who care for them,” lead researcher Mustafa Atee said.

The presence of uncontrolled pain could result in inappropriate medications being prescribed, which may create dangerous side effects including falls, fractures, and in extreme cases, death, he added. The researchers say the study – the largest of its kind – highlights the need to incorporate pain assessment and management as standard treatment protocols in dementia care.

Read More

puzzles,videos,hash-videos